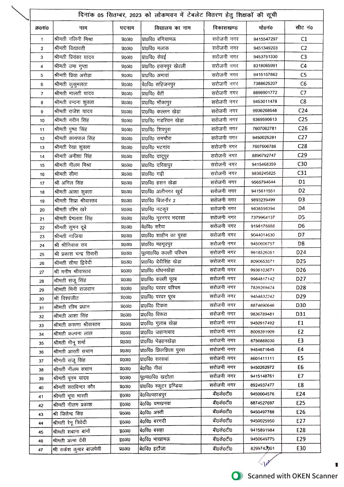
05 सितम्बर 2023 को लोकभवन में आयोजित होने वाले शिक्षक दिवस समारोह में टेबलेट, स्मार्ट क्लास, आई०सी०टी०, व्यवस्था में लगे अधिकारियों / कर्मचारियों व शिक्षकों की सूची । Tablet Distribution For Up Basic School List and Order 2023

05 सितम्बर 2023 को लोकभवन में आयोजित होने वाले शिक्षक दिवस समारोह में टेबलेट, स्मार्ट क्लास, आई०सी०टी०, व्यवस्था में लगे अधिकारियों / कर्मचारियों व शिक्षकों की सूची । Tablet Distribution For Up Basic School List and Order 2023


और नया पुराने

TAGS